登录入口 | PRODUCTS
联系我们 | CONTACT US
- 内贸部:18953701056 (刘广臣)
- 外贸部:18063200578 (任真真)
您所在的位置:
首页 >>
登录入口 >>
聚羧酸类阻垢分散剂、水性分散剂 >>
水解聚马来酸酐 HPMA登录入口
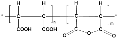
水解聚马来酸酐 HPMA
Hydrolyzed Polymaleic Anhydride (HPMA)
别名:聚马来酸,聚顺丁烯二酸 CAS No. 26099-09-02
一、性能与用途
HPMA一般相对分子量为400~800,无毒,易溶于水,化学稳定性及热稳定性高,分解温度在330℃以上。HPMA适用于碱性环境。由于HPMA阻垢性能和耐高温性能优异,因此在海水淡化的闪蒸装置中和低压锅炉及工业循环冷却水中得到广泛使用。另外HPMA有一定的缓蚀作用,与锌盐复配缓蚀效果更好。
HPMA还可用于水泥外加剂,盐碱土壤改良剂。
二、技术指标
| 项 目 | 指 标 |
| GB/T 10535-2014 | |
| 外 观 | 浅黄色至棕红色透明液体 |
| 固体含量/% | ≥50.0 |
| pH值(1%水溶液) | 2.0~3.0 |
| 密度(20℃)/g·cm-3 | 1.22-1.25 |
| 溴值/mg·g-1 | ≤50.0 |
三、使用方法
HPMA单独使用时一般使用浓度为1-15mg/L,常与有机膦酸盐复合,用于循环冷却水处理及低压锅炉的炉内处理,具有良好的抑制水垢生成和剥离老垢的作用,阻垢率可达98%,EDTMPS与HPMA按1:3比例复配后,可用于低压锅炉炉内水处理;HPMA与锌盐复配时,能有效地防止碳钢的腐蚀。
四、安全与防护
HPMA为酸性,操作时注意劳动保护,应避免与皮肤、眼睛等接触,接触后用大量清水冲洗。
五、包装与储存
HPMA为塑料桶包装,每桶25kg或由用户确定。贮存期为十二个月。
销售热线:0632-5113088 销售传真: 0632-5113155
地址:山东省枣庄市市中区十里泉东路1号 网址:http://www.onlinecameraed.com E-mail:th@thwater.com
版权所有© :2006-2021 milan米兰体育(中国区)体育官方网站 鲁ICP备09091669号-43
地址:山东省枣庄市市中区十里泉东路1号 网址:http://www.onlinecameraed.com E-mail:th@thwater.com
版权所有© :2006-2021 milan米兰体育(中国区)体育官方网站 鲁ICP备09091669号-43


