登录入口 | PRODUCTS
联系我们 | CONTACT US
- 内贸部:18953701056 (刘广臣)
- 外贸部:18063200578 (任真真)
您所在的位置首页 >>
登录入口 >>
有机膦系列阻垢缓蚀剂、螯合剂 >>
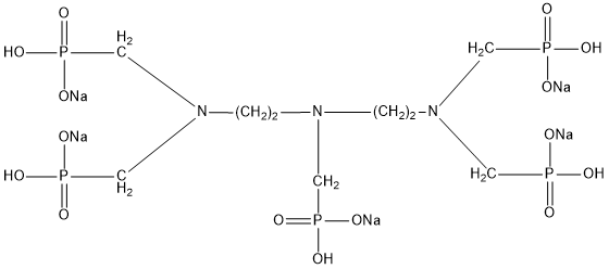
二乙烯三胺五甲叉膦酸五钠 DTPMP·Na5登录入口
二乙烯三胺五甲叉膦酸五钠 DTPMP·Na5
Diethylene Triamine Penta (Methylene Phosphonic Acid) Pentasodium salt
CAS No. 68155-78-2
分子式 C9H23O15N3P5Na5 相对分子质量:683.2
一、性能与用途
DTPMP·Na5是一种中性产品,DTPMP·Na5无毒,固体DTPMP·Na5极易吸潮易溶于水,在水处理中用作循环冷却水和锅炉水的阻垢缓蚀剂。
DTPMP·Na5可用做过氧化物稳定剂、纺织印染用螯合剂、颜料的分散剂、化肥中微量元素携带剂、混凝土添加剂。此外,在造纸、电镀和化妆品等方面也得到了广泛应用。
二、技术指标
| 项 目 | 指 标 |
| 外 观 | 琥珀色透明液体 |
| 活性组分(以DTPMPA计)/% | 24.0~26.0 |
| 活性组份(以DTPMP·Na5计)/% | 28.5~31.0 |
| 总磷(以PO43-计)/% | 19.7~21.7 |
| pH值(1%水溶液) | 6.0~8.0 |
| 密度(20℃)/g·cm-3 | ≥1.25 |
| 氯化物 (以Cl-计) /% | ≤5.0 |
| Fe含量(以Fe计) /mg·L-1 | ≤20.0 |
三、包装与贮存
DTPMP·Na5液体用塑料桶包装,每桶25kg或250kg,贮于室内阴凉干燥处,防潮,贮存期为十个月。
四、安全防护
DTPMP·Na5,操作时注意劳动保护,应避免与皮肤、眼睛等接触,接触后用大量清水冲洗。
关键字:二乙烯三胺五甲叉膦酸五钠,DTPMP·Na5,二乙烯三胺五甲叉膦酸五钠 DTPMP·Na5,DTPMP钠盐,DTPMP,DTPMPA,DTPMP钠盐,DTPMP·Nax,DTPMP·Na7,DTPMP·Na7
销售热线:0632-5113088 销售传真: 0632-5113155
地址:山东省枣庄市市中区十里泉东路1号 网址:http://www.onlinecameraed.com E-mail:th@thwater.com
版权所有© :2006-2021 milan米兰体育(中国区)体育官方网站 鲁ICP备09091669号-43
地址:山东省枣庄市市中区十里泉东路1号 网址:http://www.onlinecameraed.com E-mail:th@thwater.com
版权所有© :2006-2021 milan米兰体育(中国区)体育官方网站 鲁ICP备09091669号-43


