登录入口 | PRODUCTS
联系我们 | CONTACT US
- 内贸部:18953701056 (刘广臣)
- 外贸部:18063200578 (任真真)
您所在的位置首页 >>
登录入口 >>
有机膦系列阻垢缓蚀剂、螯合剂 >>
DTPMPA
登录入口
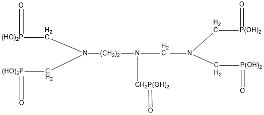
二乙烯三胺五甲叉膦酸DTPMPA
Diethylene Triamine Penta (Methylene Phosphonic Acid) (DTPMPA)
CAS No. 15827-60-8
别名:二乙烯三胺五亚甲基膦酸;DETPMP;二亚乙基三氨基五甲基磷酸;
分子式 C9H28O15N3P5 相对分子质量:573.2
一、性能与用途
DTPMPA无毒,易溶于酸性溶液中,阻垢缓蚀效果俱佳且耐温性好,可抑制碳酸盐、硫酸盐垢的生成,在碱性环境和高温下(210℃以上)阻垢缓蚀性能较其它有机膦好。DTPMPA在水处理中用作循环冷却水和锅炉水的阻垢缓蚀剂,特别适用于碱性循环冷却水中作为不调pH的阻垢缓蚀剂,并可用于含碳酸钡高的油田注水和冷却水、锅炉水的阻垢缓蚀剂;在复配药剂中单独使用本品,无需投加分散剂,污垢沉积量仍很小。
DTPMPA也可用作过氧化物稳定剂(特别是高温条件下双氧水稳定效果好)、纺织印染用螯合剂、颜料的分散剂、氧脱木素稳定剂、化肥中微量元素携带剂、混凝土添加剂。此外,在造纸、电镀、金属酸洗和化妆品等方面也得到了广泛应用。还可作氧化性杀菌剂的稳定剂。
二、技术指标 符合HG/T 3777-2023
| 项 目 | 指 标 |
| HG/T 3777-2023 | |
| 外 观 | 棕黄色或棕红色粘稠液体 |
| 活性组分/% | ≥ 50.0 |
| 钙螯合剂(以CaCO3计) / (mg/g) | ≥ 450 |
| 亚磷酸(以PO33-计)/% | ≤3.0 |
| 氯化物(以Cl-计)/% | 14.0~17.0 |
| 铁(以Fe)含量/(μg/g) | ≤ 20.0 |
| pH值(10 g/L 水溶液) | ≤ 2.0 |
| 密度(20℃)/(g/cm3) | ≥ 1.35 |
三、使用方法
DTPMPA作阻垢剂一般使用浓度1~30mg/L,作清洗剂一般使用浓度1000~2000mg/L;通常与聚羧酸型阻垢分散剂配合使用。在其他行业使用时,应根据试验确定 用量。
四、包装与贮存
DTPMPA用塑料桶包装,每桶30kg或根据用户需要确定。贮于室内阴凉处,贮存期为十二个月。
五、安全防护
DTPMPA为酸性,操作时注意劳动保护,应避免与皮肤、眼睛等接触,接触后用大量清水冲洗。
销售热线:0632-5113088 销售传真: 0632-5113155
地址:山东省枣庄市市中区十里泉东路1号 网址:http://www.onlinecameraed.com E-mail:th@thwater.com
版权所有© :2006-2021 milan米兰体育(中国区)体育官方网站 鲁ICP备09091669号-43
地址:山东省枣庄市市中区十里泉东路1号 网址:http://www.onlinecameraed.com E-mail:th@thwater.com
版权所有© :2006-2021 milan米兰体育(中国区)体育官方网站 鲁ICP备09091669号-43


