登录入口 | PRODUCTS
联系我们 | CONTACT US
- 内贸部:18953701056 (刘广臣)
- 外贸部:18063200578 (任真真)
您所在的位置首页 >>
登录入口 >>
有机膦系列阻垢缓蚀剂、螯合剂 >>
PBTCA登录入口
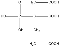
2-膦酸丁烷-1,2,4-三羧酸PBTCA
2-Phosphonobutane -1,2,4-Tricarboxylic Acid (PBTCA)
CAS No. 37971-36-1
别名:1,2,4-三羧酸-2-膦酸基丁烷;PBTC;2-膦酰基-1,2,4-丁烷三羧酸;膦酰基丁烷三羧酸;
分子式 C7H11O9P 相对分子质量:270.13
一、性能与用途
PBTCA含磷量低,由于它具有膦酸和羧酸的结构特性,使其具有良好的阻垢和缓蚀性能,优于常用的有机膦酸,特别在高温下阻垢性能远优于常用的有机膦酸,能提高锌的溶解度,耐氯的氧化性能好,复配协同性好。PBTCA在高效阻垢缓蚀剂复配中应用范围广,性能优越,也是锌盐的优良稳定剂。广泛应用于循环冷却水系统和油田注水系统的缓蚀阻垢,特别适合与锌盐、共聚物复配使用,可用于高温、高硬、高碱及需要高浓缩倍数下运行的场合,PBTCA在洗涤行业中可作螯合剂及金属清洗剂。
二、技术指标 符合HG/T 3662-2010
| 项 目 | 指 标 |
| HG/T 3662-2010 | |
| 外 观 | 无色至淡黄色透明液体 |
| 活性组分(以PBTCA计)/% | ≥50.0 |
| 亚磷酸(以PO33-计)/% | ≤0.5 |
| 正磷酸(以PO43-计)/% | ≤0.2 |
| pH值(1%水溶液) | 1.5~2.0 |
| 密度(20℃)/g·cm-3 | ≥1.27 |
| Fe含量(以Fe计) /mg·L-1 | ≤10.0 |
| 氯化物含量(以Cl-计) /mg·L-1 | ≤10.0 |
三、使用方法
PBTCA一般与锌盐、共聚物、有机磷、唑类等其它水处理剂复配使用。如单独使用投加剂量为5~15mg/L。
四、包装与贮存
PBTCA用塑料桶包装,每桶25Kg或250Kg。贮存于室内阴凉处。贮存期十二个月。
五、安全防护
PBTCA为酸性,操作时注意劳动保护,应避免与皮肤、眼睛等接触,接触后用大量清水冲洗。
销售热线:0632-5113088 销售传真: 0632-5113155
地址:山东省枣庄市市中区十里泉东路1号 网址:http://www.onlinecameraed.com E-mail:th@thwater.com
版权所有© :2006-2021 milan米兰体育(中国区)体育官方网站 鲁ICP备09091669号-43
地址:山东省枣庄市市中区十里泉东路1号 网址:http://www.onlinecameraed.com E-mail:th@thwater.com
版权所有© :2006-2021 milan米兰体育(中国区)体育官方网站 鲁ICP备09091669号-43


