登录入口 | PRODUCTS
联系我们 | CONTACT US
- 内贸部:18953701056 (刘广臣)
- 外贸部:18063200578 (任真真)
您所在的位置首页 >>
登录入口 >>
有机膦系列阻垢缓蚀剂、螯合剂 >>
BHMTPh·PN (Na2)登录入口
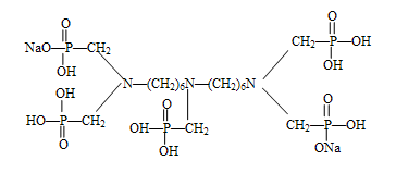
双1,6-亚己基三胺五甲叉膦酸钠 BHMTPH·PN (Na2)
别名:二己烯三胺五亚甲基膦酸钠 CAS No. 35657-77-3
分子式 C17H42O15N3P5Na2 相对分子质量:约731
一、产品性能
BHMTPH·PN(Na2)是高效的螯合型阻垢剂,对碳酸盐垢和硫酸盐垢具有良好的阻垢效果。在较宽的pH范围和120℃高温下有极佳的水溶性和热稳定性,对钙离子容忍度高。BHMTPH·PN(Na2)是油田水处理中的缓蚀阻垢剂,工业循环冷却水和锅炉水的阻垢缓蚀剂。
二、质量指标
| 项 目 | 指 标 |
| 外 观 | 深棕色液体 |
| 活性组分(以BHMTPMPA计) /% | 35.0~39.0 |
| pH值(1%水溶液) | 2.5~4.5 |
| 密度(20℃)/g·cm-3 | 1.21~1.31 |
| Fe含量(以Fe计) /mg·L-1 | ≤65.0 |
三、使用方法
单独使用或与聚羧酸型阻垢分散剂配合使用。
四、包装与储存
BHMTPH·PN(Na2)用塑料桶包装,每桶25Kg或根据用户需要确定。贮于室内阴凉处,贮存期为十个月。
五、安全防护
BHMTPH·PN(Na2)为弱酸性,操作时注意劳动保护,应避免与皮肤、眼睛等接触,接触后用大量清水冲洗。
销售热线:0632-5113088 销售传真: 0632-5113155
地址:山东省枣庄市市中区十里泉东路1号 网址:http://www.onlinecameraed.com E-mail:th@thwater.com
版权所有© :2006-2021 milan米兰体育(中国区)体育官方网站 鲁ICP备09091669号-43
地址:山东省枣庄市市中区十里泉东路1号 网址:http://www.onlinecameraed.com E-mail:th@thwater.com
版权所有© :2006-2021 milan米兰体育(中国区)体育官方网站 鲁ICP备09091669号-43


