登录入口 | PRODUCTS
联系我们 | CONTACT US
- 内贸部:18953701056 (刘广臣)
- 外贸部:18063200578 (任真真)
您所在的位置:
首页 >>
登录入口 >>
聚羧酸类阻垢分散剂、水性分散剂 >>
AA-AMPS登录入口
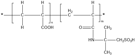
丙烯酸-2-丙烯酰胺-2-甲基丙磺酸共聚物 AA-AMPS
Acrylic Acid-2-Acrylamido-2-Methylpropane Sulfonic Acid Copolymer (AA-AMPS)
一、性能与用途
AA-AMPS为丙烯酸与2-丙烯酰胺-2-甲基丙磺酸(AMPS)共聚而成。由于分子结构中含有阻垢分散性能好的羧酸基和强极性的磺酸基,能提高钙容忍度,对水中的磷酸钙、碳酸钙、锌垢等有显著的阻垢作用,防止氧化铁的沉积,尤其对磷酸钙阻垢率高。并且分散性能优良。与有机膦复配,增效作用明显。特别适合高pH、高碱度、高硬度的水质,是实现高浓缩倍数运行的理想的阻垢分散剂之一。
二、技术指标 符合 HG/T 3642-2016
| 项 目 | 指 标 | |
| HG/T 3642-2016 | -- | |
| 外 观 | 无色至黄色粘稠液体 | 无色至淡黄色粘稠液体 |
| 固体含量/% | ≥30.0 | ≥40.0 |
| pH值(1%水溶液) | ≤2.5 | 3.5~4.5 |
| 密度(20℃)/g·cm-3 | ≥1.05 | ≥1.15 |
| 游离单体(以AA计)/% | ≤0.2 | ≤0.50 |
| 极限粘数(30℃)/dl·g-1 | 0.055~0.100 | -- |
三、使用方法
AA-AMPS可与有机膦酸盐、锌盐复合使用,适于pH条件为7.0~9.5。
四、包装与贮存
AA-AMPS为塑料桶包装,每桶25kg、200 kg或250 kg,也可根据用户要求确定。AA-AMPS贮存期为十二个月。
五、安全与防护
AA-AMPS为酸性,操作时注意劳动保护,应避免与皮肤、眼睛等接触,接触后用大量清水冲洗。
销售热线:0632-5113088 销售传真: 0632-5113155
地址:山东省枣庄市市中区十里泉东路1号 网址:http://www.onlinecameraed.com E-mail:th@thwater.com
版权所有© :2006-2021 milan米兰体育(中国区)体育官方网站 鲁ICP备09091669号-43
地址:山东省枣庄市市中区十里泉东路1号 网址:http://www.onlinecameraed.com E-mail:th@thwater.com
版权所有© :2006-2021 milan米兰体育(中国区)体育官方网站 鲁ICP备09091669号-43


