登录入口 | PRODUCTS
联系我们 | CONTACT US
- 内贸部:18953701056 (刘广臣)
- 外贸部:18063200578 (任真真)
您所在的位置:
首页 >>
登录入口 >>
聚羧酸类阻垢分散剂、水性分散剂 >>
AA-AMPS-HPA三元共聚物登录入口
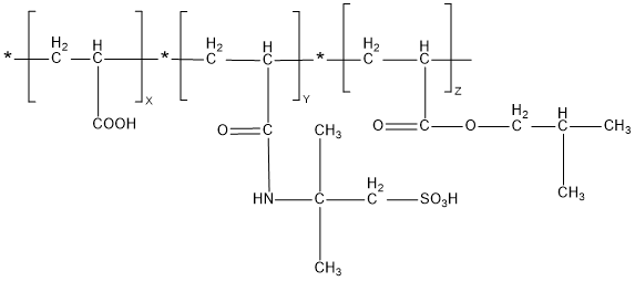
羧酸-磺酸-丙烯酸酯三元共聚物
Carboxylic - Sulfonate - Acrylate Terpolymer
化学组成:AA-AMPS-HPA三元共聚物
一、性能与用途
AA-AMPS-HPA三元共聚物是一种新型的含有多种官能团的聚电解质阻垢分散剂。由于在共聚物的分子链上同时含有强酸、弱酸与非离子基团,本产品在高温、高pH、高硬与高碱条件下具有较高的钙容忍度,对水中的碳酸钙、磷酸钙、锌垢、氧化铁以及泥沙等污垢的沉积,具有优良的抑制作用和分散性能,可替代T-225和一些常规的磺酸共聚物使用。AA-AMPS-HPA三元共聚物与聚磷酸盐、锌盐、有机膦酸盐等常用水处理剂配伍性能良好,尤其是可与锌盐大剂量复配,稳锌率高,从而提高了药剂对碳钢的缓蚀率,已被广泛用于钢铁、石化、电力、油田、煤炭等行业的复杂水质的处理中。
二、技术指标
| 项 目 | 指 标 |
| 外观 | 无色至淡黄色透明液体 |
| 固体含量/% | ≥30.0 |
| pH(1%水溶液) | 2.0~4.0 |
| 密度(20℃)/ g·cm-3 | ≥1.1 |
| 游离单体(以AA计)/% | ≤0.5 |
三、使用方法
AA-AMPS-HPA三元共聚物阻垢分散剂正常用量为10~30 mg/L,具体用量视不同水质条件而定,可与锌盐和有机膦酸(盐)配合使用,适用pH条件为7.0~9.5。作为分散氧化铁使用时,投加量一般为80~100 mg/L,特定应用时添加量需根据实际试验而定。
四、包装与贮存
AA-AMPS-HPA三元共聚物用塑料桶包装,每桶25kg、200kg或1000kg (可以根据需要确定)。贮于室内阴凉处,贮存期为十个月。
五、安全防护
AA-AMPS-HPA三元共聚物为弱酸性,操作时注意劳动保护,应避免与皮肤、眼睛等接触,接触后立即用大量清水冲洗。
销售热线:0632-5113088 销售传真: 0632-5113155
地址:山东省枣庄市市中区十里泉东路1号 网址:http://www.onlinecameraed.com E-mail:th@thwater.com
版权所有© :2006-2021 milan米兰体育(中国区)体育官方网站 鲁ICP备09091669号-43
地址:山东省枣庄市市中区十里泉东路1号 网址:http://www.onlinecameraed.com E-mail:th@thwater.com
版权所有© :2006-2021 milan米兰体育(中国区)体育官方网站 鲁ICP备09091669号-43



